
The ggprism package provides various themes, palettes,
and other useful functions to customise ggplots and give them the
‘GraphPad Prism’ look.
Install the latest version from CRAN:
install.packages("ggprism")Install the development version from GitHub:
remotes::install_github("csdaw/ggprism")See the Getting
Started page for a quick overview of ggprism features.
Detailed examples and instructions can be found below and on the ggprism
website.
library(ggplot2)
library(ggprism)
tg <- ToothGrowth
tg$dose <- as.factor(tg$dose)
base <- ggplot(tg, aes(x = dose, y = len)) +
geom_violin(aes(colour = dose, fill = dose), trim = FALSE) +
geom_boxplot(aes(fill = dose), width = 0.2, colour = "black") +
scale_y_continuous(limits = c(-5, 40))
p_vals <- tibble::tribble(
~group1, ~group2, ~p.adj, ~y.position,
"0.5", "1", 8.80e-14, 35,
"0.5", "2", 1.27e-7, 39
)base
base +
scale_color_prism("floral") +
scale_fill_prism("floral") +
guides(y = "prism_offset_minor") +
theme_prism(base_size = 16) +
theme(legend.position = "none") +
add_pvalue(p_vals, label = "p = {p.adj}", tip.length = 0, label.size = 4)
#> Warning: The S3 guide system was deprecated in ggplot2 3.5.0.
#> ℹ It has been replaced by a ggproto system that can be extended.
#> This warning is displayed once every 8 hours.
#> Call `lifecycle::last_lifecycle_warnings()` to see where this warning was
#> generated.

Any feedback, questions, and suggestions are welcome and should be shared via GitHub discussions.
Bug reports should be submitted via GitHub issues with a
minimal reproducible example, e.g. using the reprex package.
Contributions to ggprism are also welcome and pull
requires should also be submitted via GitHub issues. Please
fork/clone this repository and create a new branch to
develop your contribution in. Some ways to contribute might include:
I would be very grateful if you could cite this package if you use it in your publication:
Charlotte Dawson (2025). ggprism: A ‘ggplot2’ Extension Inspired by ‘GraphPad Prism’. R package version 1.0.7. https://cran.r-project.org/package=ggprism doi: 10.5281/zenodo.4556067
# BibTex for LaTeX users
@Manual{
title = {ggprism: A 'ggplot2' Extension Inspired by 'GraphPad Prism'},
author = {Charlotte Dawson},
year = {2025},
note = {R package version 1.0.7},
url = {https://cran.r-project.org/package=ggprism},
doi = {10.5281/zenodo.4556067}
}
Recreates this figure from the GraphPad Prism website. See this vignette for the source code and step-by-step instructions.


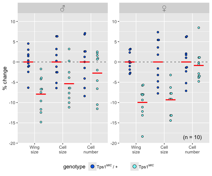
Recreates Figure 2B from Matsushita & Nishimura (2020), which was originally created using GraphPad Prism. See this vignette for the source code and step-by-step instructions.

