
The goal of equatiomatic is to reduce the pain associated with writing LaTeX code from a fitted model. The package aims to support any model supported by broom. See the introduction to equatiomatic for currently supported models.
Install from CRAN with
install.packages("equatiomatic")Or get the development version from GitHub with
remotes::install_github("datalorax/equatiomatic")
The gif above shows the basic functionality.
To convert a model to LaTeX, feed a model object to
extract_eq():
library(equatiomatic)
# Fit a simple model
mod1 <- lm(mpg ~ cyl + disp, mtcars)
# Give the results to extract_eq
extract_eq(mod1)#> $$
#> \operatorname{mpg} = \alpha + \beta_{1}(\operatorname{cyl}) + \beta_{2}(\operatorname{disp}) + \epsilon
#> $$

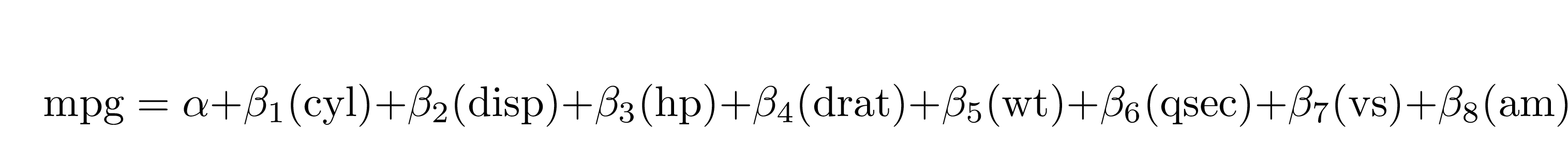
The model can be built in any standard way. It can handle shortcut syntax:
mod2 <- lm(mpg ~ ., mtcars)
extract_eq(mod2)#> $$
#> \operatorname{mpg} = \alpha + \beta_{1}(\operatorname{cyl}) + \beta_{2}(\operatorname{disp}) + \beta_{3}(\operatorname{hp}) + \beta_{4}(\operatorname{drat}) + \beta_{5}(\operatorname{wt}) + \beta_{6}(\operatorname{qsec}) + \beta_{7}(\operatorname{vs}) + \beta_{8}(\operatorname{am}) + \beta_{9}(\operatorname{gear}) + \beta_{10}(\operatorname{carb}) + \epsilon
#> $$

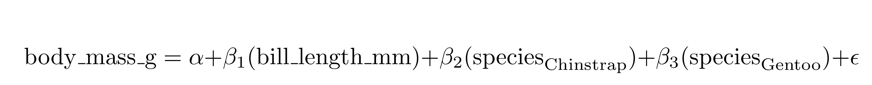
When using categorical variables, it will include the levels of the variables as subscripts.
data("penguins", package = "equatiomatic")
mod3 <- lm(body_mass_g ~ bill_length_mm + species, penguins)
extract_eq(mod3)#> $$
#> \operatorname{body\_mass\_g} = \alpha + \beta_{1}(\operatorname{bill\_length\_mm}) + \beta_{2}(\operatorname{species}_{\operatorname{Chinstrap}}) + \beta_{3}(\operatorname{species}_{\operatorname{Gentoo}}) + \epsilon
#> $$

It helpfully preserves the order the variables are supplied in the formula:
set.seed(8675309)
d <- data.frame(cat1 = rep(letters[1:3], 100),
cat2 = rep(LETTERS[1:3], each = 100),
cont1 = rnorm(300, 100, 1),
cont2 = rnorm(300, 50, 5),
out = rnorm(300, 10, 0.5))
mod4 <- lm(out ~ cont1 + cat2 + cont2 + cat1, d)
extract_eq(mod4)#> $$
#> \operatorname{out} = \alpha + \beta_{1}(\operatorname{cont1}) + \beta_{2}(\operatorname{cat2}_{\operatorname{B}}) + \beta_{3}(\operatorname{cat2}_{\operatorname{C}}) + \beta_{4}(\operatorname{cont2}) + \beta_{5}(\operatorname{cat1}_{\operatorname{b}}) + \beta_{6}(\operatorname{cat1}_{\operatorname{c}}) + \epsilon
#> $$

You can wrap the equations so that a specified number of terms appear
on the right-hand side of the equation using terms_per_line
(defaults to 4):
extract_eq(mod2, wrap = TRUE)#> $$
#> \begin{aligned}
#> \operatorname{mpg} &= \alpha + \beta_{1}(\operatorname{cyl}) + \beta_{2}(\operatorname{disp}) + \beta_{3}(\operatorname{hp})\ + \\
#> &\quad \beta_{4}(\operatorname{drat}) + \beta_{5}(\operatorname{wt}) + \beta_{6}(\operatorname{qsec}) + \beta_{7}(\operatorname{vs})\ + \\
#> &\quad \beta_{8}(\operatorname{am}) + \beta_{9}(\operatorname{gear}) + \beta_{10}(\operatorname{carb}) + \epsilon
#> \end{aligned}
#> $$

extract_eq(mod2, wrap = TRUE, terms_per_line = 6)#> $$
#> \begin{aligned}
#> \operatorname{mpg} &= \alpha + \beta_{1}(\operatorname{cyl}) + \beta_{2}(\operatorname{disp}) + \beta_{3}(\operatorname{hp}) + \beta_{4}(\operatorname{drat}) + \beta_{5}(\operatorname{wt})\ + \\
#> &\quad \beta_{6}(\operatorname{qsec}) + \beta_{7}(\operatorname{vs}) + \beta_{8}(\operatorname{am}) + \beta_{9}(\operatorname{gear}) + \beta_{10}(\operatorname{carb}) + \epsilon
#> \end{aligned}
#> $$

When wrapping, you can change whether the lines end with trailing
math operators like + (the default), or if they should
begin with them using operator_location = "end" or
operator_location = "start":
extract_eq(mod2, wrap = TRUE, terms_per_line = 4, operator_location = "start")#> $$
#> \begin{aligned}
#> \operatorname{mpg} &= \alpha + \beta_{1}(\operatorname{cyl}) + \beta_{2}(\operatorname{disp}) + \beta_{3}(\operatorname{hp})\\
#> &\quad + \beta_{4}(\operatorname{drat}) + \beta_{5}(\operatorname{wt}) + \beta_{6}(\operatorname{qsec}) + \beta_{7}(\operatorname{vs})\\
#> &\quad + \beta_{8}(\operatorname{am}) + \beta_{9}(\operatorname{gear}) + \beta_{10}(\operatorname{carb}) + \epsilon
#> \end{aligned}
#> $$

By default, all text in the equation is wrapped in
\operatorname{}. You can optionally have the variables
themselves be italicized (i.e. not be wrapped in
\operatorname{}) with ital_vars = TRUE:
extract_eq(mod2, wrap = TRUE, ital_vars = TRUE)#> $$
#> \begin{aligned}
#> mpg &= \alpha + \beta_{1}(cyl) + \beta_{2}(disp) + \beta_{3}(hp)\ + \\
#> &\quad \beta_{4}(drat) + \beta_{5}(wt) + \beta_{6}(qsec) + \beta_{7}(vs)\ + \\
#> &\quad \beta_{8}(am) + \beta_{9}(gear) + \beta_{10}(carb) + \epsilon
#> \end{aligned}
#> $$

If you include extract_eq() in an R Markdown chunk,
knitr will render the equation. If you’d like to see
the LaTeX code wrap the call in print().
You can also use the tex_preview() function from the texPreview
package to preview the equation in RStudio:
tex_preview(extract_eq(mod1))
Both extract_eq() and tex_preview() work
with magrittr pipes, so you can do something like
this:
library(magrittr) # or library(tidyverse) or any other package that exports %>%
extract_eq(mod1) %>%
tex_preview()There are several extra options you can enable with additional
arguments to extract_eq().
You can return actual numeric coefficients instead of Greek letters
with use_coefs = TRUE:
extract_eq(mod1, use_coefs = TRUE)#> $$
#> \operatorname{\widehat{mpg}} = 34.66 - 1.59(\operatorname{cyl}) - 0.02(\operatorname{disp})
#> $$

By default, it will remove doubled operators like “+ -”, but you can
keep those in (which is often useful for teaching) with
fix_signs = FALSE:
extract_eq(mod1, use_coefs = TRUE, fix_signs = FALSE)#> $$
#> \operatorname{\widehat{mpg}} = 34.66 + -1.59(\operatorname{cyl}) + -0.02(\operatorname{disp})
#> $$

This works in longer wrapped equations:
extract_eq(mod2, wrap = TRUE, terms_per_line = 3,
use_coefs = TRUE, fix_signs = FALSE)#> $$
#> \begin{aligned}
#> \operatorname{\widehat{mpg}} &= 12.3 + -0.11(\operatorname{cyl}) + 0.01(\operatorname{disp})\ + \\
#> &\quad -0.02(\operatorname{hp}) + 0.79(\operatorname{drat}) + -3.72(\operatorname{wt})\ + \\
#> &\quad 0.82(\operatorname{qsec}) + 0.32(\operatorname{vs}) + 2.52(\operatorname{am})\ + \\
#> &\quad 0.66(\operatorname{gear}) + -0.2(\operatorname{carb})
#> \end{aligned}
#> $$

lm()You’re not limited to just lm models!
equatiomatic supports many other models, including
logistic regression, probit regression, and ordered logistic regression
(with MASS::polr()).
glm()model_logit <- glm(sex ~ bill_length_mm + species,
data = penguins, family = binomial(link = "logit"))
extract_eq(model_logit, wrap = TRUE, terms_per_line = 3)#> $$
#> \begin{aligned}
#> \log\left[ \frac { P( \operatorname{sex} = \operatorname{male} ) }{ 1 - P( \operatorname{sex} = \operatorname{male} ) } \right] &= \alpha + \beta_{1}(\operatorname{bill\_length\_mm}) + \beta_{2}(\operatorname{species}_{\operatorname{Chinstrap}})\ + \\
#> &\quad \beta_{3}(\operatorname{species}_{\operatorname{Gentoo}})
#> \end{aligned}
#> $$

glm()model_probit <- glm(sex ~ bill_length_mm + species,
data = penguins, family = binomial(link = "probit"))
extract_eq(model_probit, wrap = TRUE, terms_per_line = 3)#> $$
#> \begin{aligned}
#> P( \operatorname{sex} = \operatorname{male} ) &= \Phi[\alpha + \beta_{1}(\operatorname{bill\_length\_mm}) + \beta_{2}(\operatorname{species}_{\operatorname{Chinstrap}})\ + \\
#> &\qquad\ \beta_{3}(\operatorname{species}_{\operatorname{Gentoo}})]
#> \end{aligned}
#> $$

MASS::polr()set.seed(1234)
df <- data.frame(outcome = factor(rep(LETTERS[1:3], 100),
levels = LETTERS[1:3],
ordered = TRUE),
continuous_1 = rnorm(300, 100, 1),
continuous_2 = rnorm(300, 50, 5))
model_ologit <- MASS::polr(outcome ~ continuous_1 + continuous_2,
data = df, Hess = TRUE, method = "logistic")
model_oprobit <- MASS::polr(outcome ~ continuous_1 + continuous_2,
data = df, Hess = TRUE, method = "probit")
extract_eq(model_ologit, wrap = TRUE)#> $$
#> \begin{aligned}
#> \log\left[ \frac { P( \operatorname{outcome} \leq \operatorname{A} ) }{ 1 - P( \operatorname{outcome} \leq \operatorname{A} ) } \right] &= \alpha_{1} + \beta_{1}(\operatorname{continuous\_1}) + \beta_{2}(\operatorname{continuous\_2}) \\
#> \log\left[ \frac { P( \operatorname{outcome} \leq \operatorname{B} ) }{ 1 - P( \operatorname{outcome} \leq \operatorname{B} ) } \right] &= \alpha_{2} + \beta_{1}(\operatorname{continuous\_1}) + \beta_{2}(\operatorname{continuous\_2})
#> \end{aligned}
#> $$

extract_eq(model_oprobit, wrap = TRUE)#> $$
#> \begin{aligned}
#> P( \operatorname{outcome} \leq \operatorname{A} ) &= \Phi[\alpha_{1} + \beta_{1}(\operatorname{continuous\_1}) + \beta_{2}(\operatorname{continuous\_2})] \\
#> P( \operatorname{outcome} \leq \operatorname{B} ) &= \Phi[\alpha_{2} + \beta_{1}(\operatorname{continuous\_1}) + \beta_{2}(\operatorname{continuous\_2})]
#> \end{aligned}
#> $$

ordinal::clm()set.seed(1234)
df <- data.frame(outcome = factor(rep(LETTERS[1:3], 100),
levels = LETTERS[1:3],
ordered = TRUE),
continuous_1 = rnorm(300, 1, 1),
continuous_2 = rnorm(300, 5, 5))
model_ologit <- ordinal::clm(outcome ~ continuous_1 + continuous_2,
data = df, link = "logit")
model_oprobit <- ordinal::clm(outcome ~ continuous_1 + continuous_2,
data = df, link = "probit")
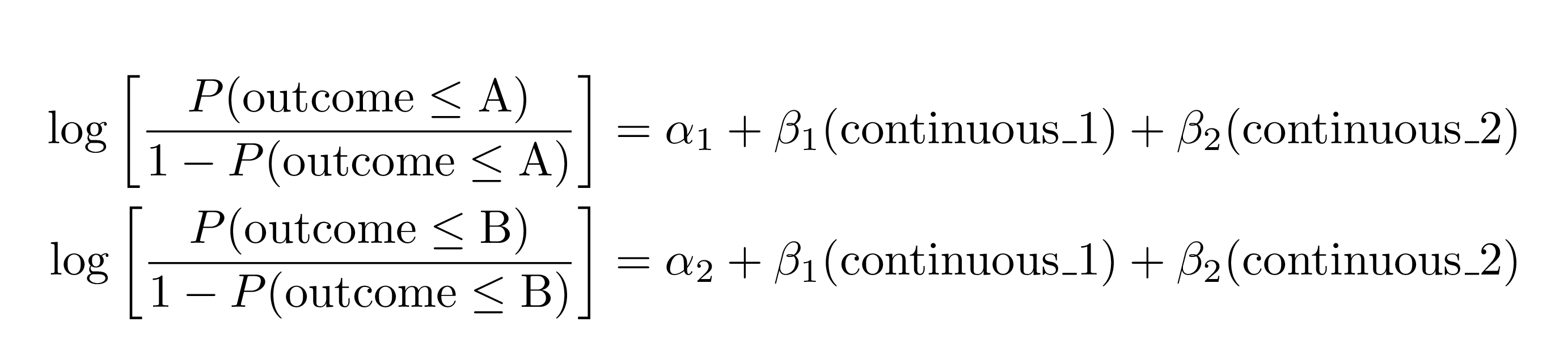
extract_eq(model_ologit, wrap = TRUE)#> $$
#> \begin{aligned}
#> \log\left[ \frac { P( \operatorname{outcome} \leq \operatorname{A} ) }{ 1 - P( \operatorname{outcome} \leq \operatorname{A} ) } \right] &= \alpha_{1} + \beta_{1}(\operatorname{continuous\_1}) + \beta_{2}(\operatorname{continuous\_2}) \\
#> \log\left[ \frac { P( \operatorname{outcome} \leq \operatorname{B} ) }{ 1 - P( \operatorname{outcome} \leq \operatorname{B} ) } \right] &= \alpha_{2} + \beta_{1}(\operatorname{continuous\_1}) + \beta_{2}(\operatorname{continuous\_2})
#> \end{aligned}
#> $$
\[ \begin{aligned} \log\left[ \frac { P( \operatorname{outcome} \leq \operatorname{A} ) }{ 1 - P( \operatorname{outcome} \leq \operatorname{A} ) } \right] &= \alpha_{1} + \beta_{1}(\operatorname{continuous\_1}) + \beta_{2}(\operatorname{continuous\_2}) \\ \log\left[ \frac { P( \operatorname{outcome} \leq \operatorname{B} ) }{ 1 - P( \operatorname{outcome} \leq \operatorname{B} ) } \right] &= \alpha_{2} + \beta_{1}(\operatorname{continuous\_1}) + \beta_{2}(\operatorname{continuous\_2}) \end{aligned} \]
extract_eq(model_oprobit, wrap = TRUE)#> $$
#> \begin{aligned}
#> P( \operatorname{outcome} \leq \operatorname{A} ) &= \Phi[\alpha_{1} + \beta_{1}(\operatorname{continuous\_1}) + \beta_{2}(\operatorname{continuous\_2})] \\
#> P( \operatorname{outcome} \leq \operatorname{B} ) &= \Phi[\alpha_{2} + \beta_{1}(\operatorname{continuous\_1}) + \beta_{2}(\operatorname{continuous\_2})]
#> \end{aligned}
#> $$
\[ \begin{aligned} P( \operatorname{outcome} \leq \operatorname{A} ) &= \Phi[\alpha_{1} + \beta_{1}(\operatorname{continuous\_1}) + \beta_{2}(\operatorname{continuous\_2})] \\ P( \operatorname{outcome} \leq \operatorname{B} ) &= \Phi[\alpha_{2} + \beta_{1}(\operatorname{continuous\_1}) + \beta_{2}(\operatorname{continuous\_2})] \end{aligned} \]
If you would like to contribute to this package, we’d love your help! We are particularly interested in extending to more models. We hope to support any model supported by broom in the future.
Please note that the ‘equatiomatic’ project is released with a Contributor Code of Conduct. By contributing to this project, you agree to abide by its terms.
We’d like to thank the authors of the {palmerpenguins}
dataset for generously allowing us to incorporate the
penguins dataset in our package for example usage.
Horst AM, Hill AP, Gorman KB (2020). palmerpenguins: Palmer Archipelago (Antarctica) penguin data. R package version 0.1.0. https://allisonhorst.github.io/palmerpenguins/